开关量单元模块SY-KGL800
产品概述
SY-KGL800开关量单元模块是对开关量在线检测及告警干节点输出的一种设备,单一模块可采集40路开关量、8路无源干节点告警输出。内部采用CPU控制,采用RS485数字口与上位机通讯,采样回路与数字口光耦隔离,因此该模块采样速度快,可靠性高,可五个模块并联使用(取决于监控的支持),达到120开关量检测及40路干节点输出。
产品特点
开关量单元模块为板后安装,外形尺寸见图一;面板示意见图二

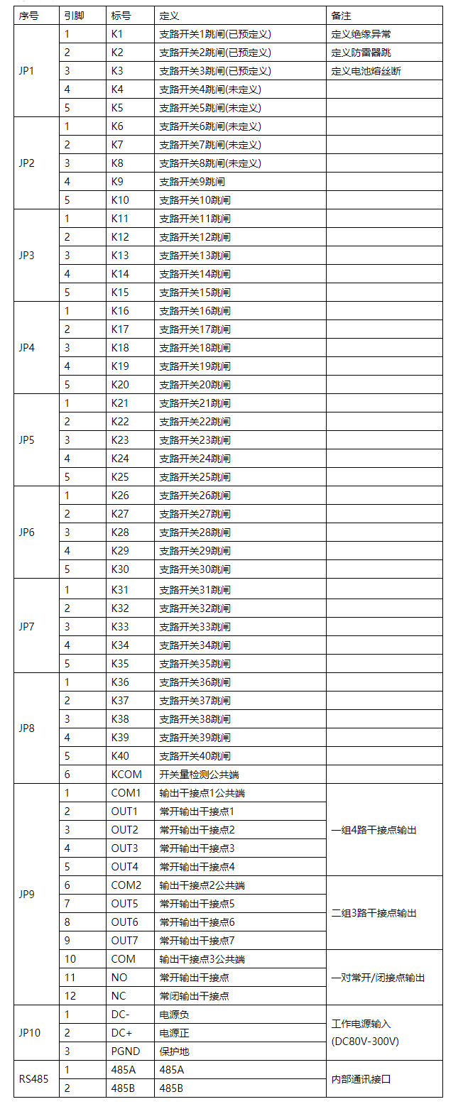
端口定义:

注意,下面描述只是针对KG40取代KG32的描述:
此模块可采40路开关量,前K1-K8路为厂家定制专用,现K1接点对应:绝缘异常;K2接点对应:防雷器跳;K3接点对应:电池熔丝断;K4-K8未定义,如果客户没有特殊要求,这些节点作为普通的开关量检测点。如果只采集37个开关量且没有K1-K3所对应的量,可从K4开始顺序往下接,多余的点不接线即可,客户必须记录好哪一路对应什么开关量检测,以便在有开关量告警时能迅速找到故障点。
8路干节点输出,在有对应的告警信息时,干节点闭合,可接入光字牌、电铃或送往中央信号屏。这个在老版本的监控已经被定义了(如要修改,请订货前说明):
COM1,OUT1控母过压。
COM1,OUT2控母欠压。
COM1,OUT3模块故障。
COM1,OUT4交流故障。
COM2,OUT5绝缘故障。
COM2,OUT6电池故障。
COM2,OUT7馈线开关跳。
COM,NO总故障。
开关量输入和输出的定义取决于主监控器的定义,开关量本身是纯粹的无源的开关量节点输入检测和8个节点输出,其定义是监控定义,因此,开关量的输入检测和输出控制请看主监控器的定义,且以主监控器的定义为准。
主要特性
主要技术参数:
1.开关量输入:40路
2.干节点输出:8路
3.通讯方式:数字RS-485
4.工作电源:DC80-300V
5.干节点输出容量:220V/0.2A
6.工作温度:-5℃-----+50℃
注意事项:
在接入开关量单元模块时,请注意该模块电源的‘+-’极,工作电源接入控母,请勿接反。RS485的A、B请勿接反,否则将出现通信不上的情况。请仔细检查开关量输入及干节点输出两个插头有无插错位置,否则将损坏模块。确认后,将供电电源接入。
请扫码云参观
工厂实景